Design capability

Fe-Safe Endurica Rubber

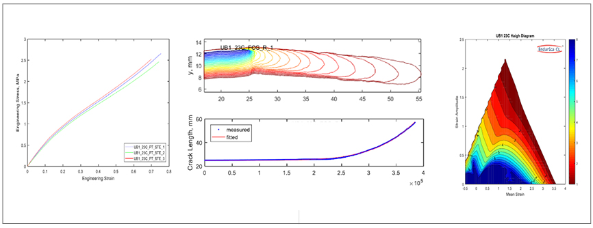
Fe-Safe along with the Endurica Rubber plugin is one of the most powerful durability software in the world. Fe-Safe provides the GUI and solver which is used by the Endurica Rubber plugin to run its ‘Fatigue Crack Growth Rate’ based on algorithms to calculate cyclic crack propagation in the rubber, leading to fatigue failures.

  • Simple Tension Test
  • Planar Tension Test
  • Equal Biaxial Tension Test
  • Crack Growth Test